41 Construction of a Multi-Origin High-Dimensional Geometry
4
0
·
2026/04/16
·
1 mins read
☕
WriterShelf™ is a unique multiple pen name blogging and forum platform. Protect relationships and your privacy. Take your writing in new directions. ** Join WriterShelf**
WriterShelf™ is an open writing platform. The views, information and opinions in this article are those of the author.
Article info
This article is part of:
分類於:
⟩
⟩
日期:
創作於:2026/04/16,最後更新於:2026/04/16。
合計:111字
Like
or Dislike
About the Author
I love science as much as art, logic as deeply as emotion.
I write the softest human stories beneath the hardest sci-fi.
May words bridge us to kindred spirits across the world.
More from this author
More to explore


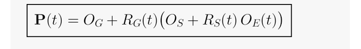
Structure of My Geometry
1. The overall barycenter of the Milky Way → First Origin, First Hierarchy
2. The Sun (local barycenter within the Milky Way) → Second Origin, Second Hierarchy
3. The Earth (local barycenter within the Solar System) → Third Origin, Third Hierarchy
Each hierarchy possesses an independent origin.
Each hierarchy warps the surrounding spacetime.
All hierarchies are nested, superimposed, and non-canceling.
1. Galactic center O_G completes one revolution → large spiral
2. Sun O_S orbits the Galaxy while rotating itself → medium spiral
3. Earth O_E nested within the Sun’s motion → small spiral
Combined:
Layer upon layer intertwined, the entire structure forms a gigantic spacetime twist.